发布者:系统管理员 | 发布时间:2016-11-03 | 浏览次数:1532
测评目的:全面贯彻党的教育方针,鼓励学生争取优秀、发展特长、开拓创新,引导学生在知识、能力、素质诸方面协调发展,培养适应社会主义现代化建设要求的高素质创新人才。
测评原则:坚持公平、公正、公开的原则,采取定量测评与定性评价相结合、过程测评与结果评定相结合、记实测评与民主评议相结合的方法,尽可能科学合理地反映学生的实际素质状况。
测评对象及名额:凡测评区间在本学院注册并参加全日制学习活动的本科生,均依据本办法以专业为单位进行测评。转专业的学生,归入测评区间所在的专业参与测评。 奖学金共分为三个等级,各等级奖金及名额分配如下:
一等奖学金:每人每学期1500元,评定人数占所在年级的专业人数的5%;
二等奖学金:每人每学期1000元,评定人数占所在年级的专业数的10%;
三等奖学金:每人每学期500元,评定人数占所在年级的专业人数的15%。
各系参评百分比严格按该年级的专业人数四舍五入提取。
测评内容:奖学金综合测评内容包括学习成绩测评和综合素质测评两部分。
测评时间:奖学金综合测评每学年进行两次,即第一学期一次,第二学期一次。两次测评均于下一学期初进行。
测评结果:奖学金综合测评的分数M是学习成绩测评总得分A和综合素质测评总得分B之和。其计算公式为:M=A+B。
一、学习成绩测评
学习成绩测评总得分A的计算公式为: 
说明:
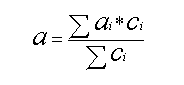
学习成绩测评得分a的计算公式如下,其中ai为课程最终成绩,ci为课程学分: 
必修课程的学习成绩测评a必修和选修课程的学习成绩测评a选修分别计算;测评区间所修的课程总门数为必修课程门数n必修与选修课程门数n选修之和。
学分重取课程、补修课程同样列入学习成绩测评的范围。
考虑到学生选修课程的不一致性,可能导致学生卷面成绩差别较大。因此,对于选修课程学习成绩测评中的课程成绩进行二次调整。调整办法:以75分为基准,将这个分数与某选修课程平均成绩的比例作为一个调整系数,学生的原始课程成绩乘以调整系数,得出调整后的成绩,作为计算选修课程学习成绩测评得分a选修的课程最终成绩。示例如下:
假设《爵士乐欣赏》和《电子商务》的课程班中各只有5名学生, 他们的课程原始成绩如下:
《爵士乐欣赏》: 88 85 81 75 78,平均成绩81.4
《电子商务》: 80 78 76 71 66,平均成绩74.2
首先计算出调整系数:
《爵士乐欣赏》课程的成绩调整系数为t1=75/81.4=0.92,
《电子商务》课程的成绩调整系数为t2=75/74.2=1.01。
然后,将课程原始成绩乘以调整系数,得出调整后成绩如下:
《爵士乐欣赏》: 80.96 78.20 74.52 69.00 71.76,
《电子商务》: 80.80 78.78 76.76 71.71 66.66。
以调整后的成绩作为最终成绩计算选修课学习成绩测评得分a选修。
二、综合素质测评
(一) 积分单位
综合素质测评的积分,用与学习成绩测评总得分相关联的值μ作为基本单位。μ的计算公式为: 
其中,H代表所在行政班学习成绩测评总得分最高分,L代表所在行政班学习成绩测评总得分最低分,n代表所在行政班级的总人数。
在奖学金综合测评中应以学习成绩测评为主,综合素质测评不应有过大的影响。因此,μ的值设定为最高不超过0.7,最低不低于0.5;凡实际数值大于0.7的均取值0.7,凡实际数值小于0.5的均取值0.5。
(二) 奖励加分
1.发表作品加分
(1)在全国、省、市级刊物或媒体(网络媒体除外)上发表作品的(包括科研学术论文、文学、艺术等作品,实习作品除外)按如下标准加分:
国家级权威报刊或媒体 | 省级重要报刊或媒体 | 市级重要报刊或媒体 |
2μ/次 | 1.5μ/次 | 1.2μ/次 |
注:
①所有作品加分应有刊物或录用通知为证明,不同作品可累加计分。
②同一作品被不同刊物和媒体发表或转载的,只计最高分,不重复计分;集体合作作品的第一作者按相应项满分计,其他作者按相应项减半计分。
③本项累计加分不超过4μ。
(2)在市级或市级以下普通刊物或杂志发表新闻、文学、艺术作品的(包括科研学术论文、文学、艺术等作品,实习作品除外)按照以下标准加分:
①在市级或市级以下普通刊物或杂志发表作品者,每篇加分为0.5μ/次;
②在校内网站(含院网和系网)、电台发表新闻稿者,每2篇增加0.1μ单位的加分;
③ 在新闻稿中发表摄影作品的,不以摄影作品的张数为单位计算,而以摄影作品附随的新闻稿的篇数为单位计算,每2篇增加0.1μ单位的加分;
④ 该项累计加分不超过1μ。
2.在各项比赛中获得名次的按如下标准加分:
学术科技类:
获奖等级(名次) | 国际比赛 | 全国比赛 | 省级比赛 | 市级比赛 | 校、院级大型比赛 | 系级大型比赛 |
一 ( 金奖 ) | 3μ/次 | 2.5μ/次 | 2μ/次 | 1.8μ/次 | 1.2μ/次 | 1μ/次 |
二 ( 银奖 ) | 2.5μ/次 | 2μ/次 | 1.8μ/次 | 1.5μ/次 | 1μ/次 | 0.8μ/次 |
三 ( 铜奖 ) | 2μ/次 | 1.8μ/次 | 1.5μ/次 | 1.2μ/次 | 0.8μ/次 | 0.5μ/次 |
优秀奖、鼓励奖、入围奖等 | 1.8μ/次 | 1.5μ/次 | 1.2μ/次 | 1μ/次 | 0.5μ/次 | 0.3μ/次 |
文艺体育类:
获奖等级(名次) | 国际比赛 | 全国比赛 | 省级比赛 | 市级比赛 | 校、院级大型比赛 | 系级大型比赛 |
一 ( 金奖 ) | 2μ/次 | 1.8μ/次 | 1.5μ/次 | 1.2μ/次 | 0.8μ/次 | 0.5μ/次 |
二 ( 银奖 ) | 1.8μ/次 | 1.5μ/次 | 1.2μ/次 | 1μ/次 | 0.5μ/次 | 0.3μ/次 |
三 ( 铜奖 ) | 1.2μ/次 | 1μ/次 | 0.8μ/次 | 0.5μ/次 | 0.3μ/次 | 0.1μ/次 |
优秀奖、鼓励奖、入围奖等 | 1μ/次 | 0.8μ/次 | 0.5μ/次 | 0.3μ/次 | 0.1μ/次 | 0.05μ/次 |
注:
① 体育比赛常见的1-8排名,分别对应如下:第1名对应一等奖,第2-4名对应二等奖,第5-8名对应三等奖;
② 比赛级别以主办方的级别为参考依据;
③ 校、院级比赛包含嘉庚学院举办的比赛和厦大举办的比赛;
④ 参加其他院系主办的比赛获奖,按照系级大型比赛相应μ值加分;
⑤ 参加各项比赛,不同项目获奖可累计加分,同一项目获不同等级奖,只计最高分,不累计加分;
⑥ 学术科技类竞赛累计加分不超过6μ,文艺体育类竞赛累计加分不超过4μ。
3.各项活动积极分子(系级及以上级别)加分标准为0.2μ/次。
注:
①学院、各系组织开展活动的直接负责人可根据参加活动的学生的表现情况,对表现突显的同学给予一定的加分;
②荣誉称号不加分,如军训优秀学员、一二九积极分子等荣誉;
③学院或各院系组织的集体活动出勤不加分;
④学生干部参加集体活动属履行工作职责,不再另外加分;
⑤本项累计加分不超过1μ。
4.担任社会工作并履行工作职责的按如下标准加分:
职务/ 等级 | 院学生组织主席团成员、系学生组织主席、系团总支书记 | 院学生组织各部长、系学生组织副主席、系团总支副书记、院刊、广播电台负责人 | 党支部书记、院学生组织各部副部长、系学生组织各部长、各社团社长、各班班长、团支部书记、系团总支委员、辅导员助理、院刊、广播电台第二负责人 | 各系学生组织副部长、各社团副社长和财务负责人、各班学习委员 | 院系学生组织各部门干事、系团总支干事、各班班委(不含学习委员)、团支部委员 | 团队队长(如院系足球队、篮球队队长等) | 团队副队长(如院系足球队、篮球队副队长等)、团队经理人 |
上限 | 2μ/学期 | 1.5μ/学期 | 1.2μ/学期 | 1.0μ/学期 | 0.7μ/学期 | 0.5μ/学期 | 0.3μ/学期 |
优秀 | 2-1.9 | 1.5-1.4 | 1.2-1.1 | 1.0-0.9 | 0.7 | 0.5 | 0.3 |
良好 | 1.8-1.6 | 1.3-1.2 | 1.1-1 | 0.9-0.7 | 0.6-0.5 | 0.4 | 0.2 |
合格 | 1.5-1.2 | 1.1-0.9 | 0.9-0.8 | 0.6 | 0.4 | 0.3 | 0.1 |
不合格 | 0 | 0 | 0 | 0 | 0 | 0 | 0 |
注:
①其中在系、年级、班级及系学生社团担任学生干部和干事的,由各系视其责任大小和工作表现及业绩组织讨论,确定加分;
②院级学生组织干事的加分,由干事所在部门的部长根据其工作表现酌情加分,其后汇总到学生组织主席团,由院团委统一审核后,确认加分;
③ 在院级组织担任学生干部的,由其任职组织的指导老师视其责任大小和工作表现及业绩酌情加分,由院团委统一审核后,确认加分;
④担任学生干部或干事不足一学期的,可以根据其工作成绩考虑给予适当加分;兼任多项职务的,获得最高分的职务计分,获得次高分的职务折半计分,获得次高评分职务后的职务不再加分;本项累计加分不超过2.75μ。
5.其他加分
(1)卫生评比最佳宿舍:加分多少和次数由系内决定,每学期累计不超过0.5μ;
(2)获得国家普通话测试等级证书、计算机等级等等级考试证书:0.5μ/次,每学期累计不超过1μ;
(3)好人好事:无偿献血,好人好事等,0.2μ/次,累计不超过1μ
6.迎新志愿者、运动会志愿者等各类志愿服务行为不加分。
(三)惩处
1.通报批评(以学工部和各院系发文为依据): -0.5μ/次
2.上课缺勤: -0.5μ/次
3.卫生评比最差宿舍: -0.5μ/次
4.违反园区管理规定:大声喧哗、破坏公物、赌博、推销商品、男女互串园区等任何违反园区管理规定的情况,-0.5μ/次。
(四)综合素质测评最终得分
综合素质测评总得分B = 奖励加分 + 惩处扣分
三、附则
(一)以下学生不能参加优秀学生奖学金评选:
1.凡测评区间所修课程最终成绩有不及格者,不能参评;
2.测评区间内,因缓考、降级等原因导致取得最终成绩的课程总学分低于所在专业平均应修学分的75%者,不能参评;
3.测评区间内受到警告及以上处分者,不能参评。
(二)评选办法及奖励办法
优秀学生奖学金评定工作由学院奖学金评审委员会领导,学院学工部负责全院奖学金评审的组织协调和材料审核工作。
具体评选及奖励办法如下:
1.由学工部负责将奖学金名额按比例分配至各系。
2.由IT服务中心负责学习成绩测评部分的初评工作。
3.由各系行政秘书兼辅导员负责综合素质测评部分的初评工作。
4.各系将综合素质测评成绩汇总给IT服务中心,由该部门结合学习成绩测评成绩,计算出奖学金综合素质测评成绩,并进行排名,之后反馈给各系行政秘书兼辅导员。
5.各系行政秘书兼辅导员根据IT服务中心反馈的结果,确定优秀学生奖学金的初评名单,并将名单送学工部审核。
6.学工部复审后将获奖学生名单公示,征求师生意见。公示期一般不少于3天。
7.学工部将经过公示的获奖学生名单报学院奖学金评审委员会终审,确定最终获奖名单。
8.学院发文公布获得奖学金的学生名单,召开表彰大会,颁发优秀学生奖学金证书。学生获奖情况载入本人档案。财务部根据最终获奖名单,将相应的奖学金转入学生本人的银行卡。
9.大学阶段最后一个测评区间,不进行奖学金评定。
10.本办法自公布之日起执行。
11.本办法由厦门大学嘉庚学院奖学金评审委员会负责解释。